tNavigator非平衡相态模拟实例
来源: | 作者:Colchis | 发布时间: 2025-05-14 | 563 次浏览 | 分享到:


在凝析气藏的开发过程中,随着压力和温度(PVT条件)的变化,油气混合物的相态会发生变化,特别是当压力降低到凝析点以下时,气藏中的液态烃组分会从气相中析出形成凝析液。这种相态变化往往是非平衡的,原因主要包括:

(1)压力快速下降:井筒或储层压力迅速降低,导致气体中的重组分没有足够时间达到新的平衡相态,从而出现非平衡相态。
(2)组分扩散和传输受限:组分在气相和液相之间的扩散和传输速度有限,导致相态变化过程滞后。
(3)温度变化:温度的变化也会影响相态平衡,尤其是在注气或注水驱替过程中。
这种非平衡相态变化会影响油气产量预测、储层管理和开发方案设计,因此在模拟和开发过程中,需要采用非平衡相态模型或动态相行为模型来更准确地描述储层内流体的实际变化。
通过NEFLASH关键词在tNavigator中模拟组分模型的非平衡相态变化过程采用了三种方法[1]:(1)方法1基于系统达到平衡时化学势差弛豫至零;(2)方法2类似于1,除了不同相中成分化学势的平衡用于确定考虑化学势差驰豫至0的组分;(3)DKDT方法基于对K值(分配系数)的变化率施加限制。参考文献:[1] Indrupskiy I.M., Lobanova O.A., Zubov V.R., Non-equilibrium phase behavior of hydrocarbons in compositional simulations and upscaling. Computational Geosciences, 2017, 21(5), P. 1173-1188.

01

理论介绍


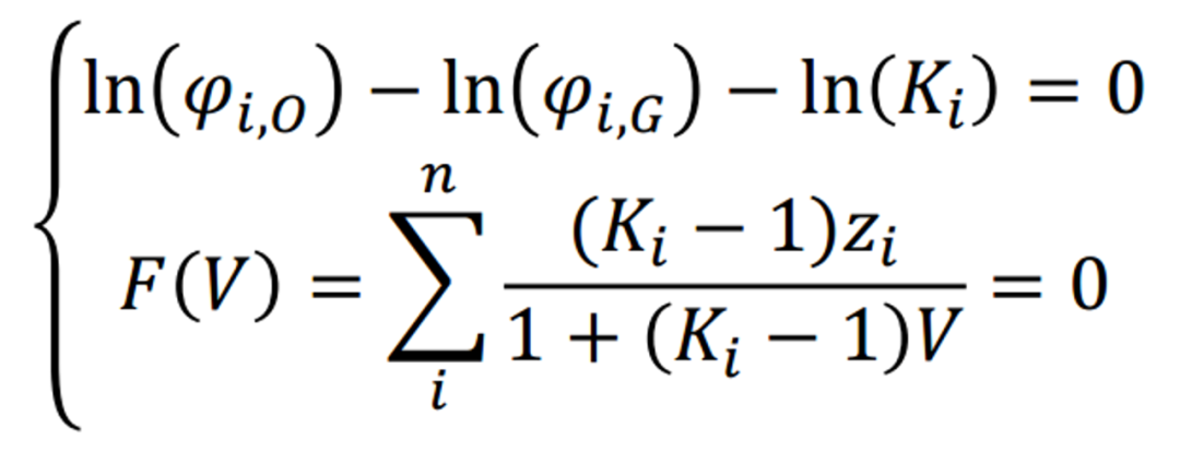
热力学平衡状态下的成分模型由以下气液平衡方程组描述:
Image
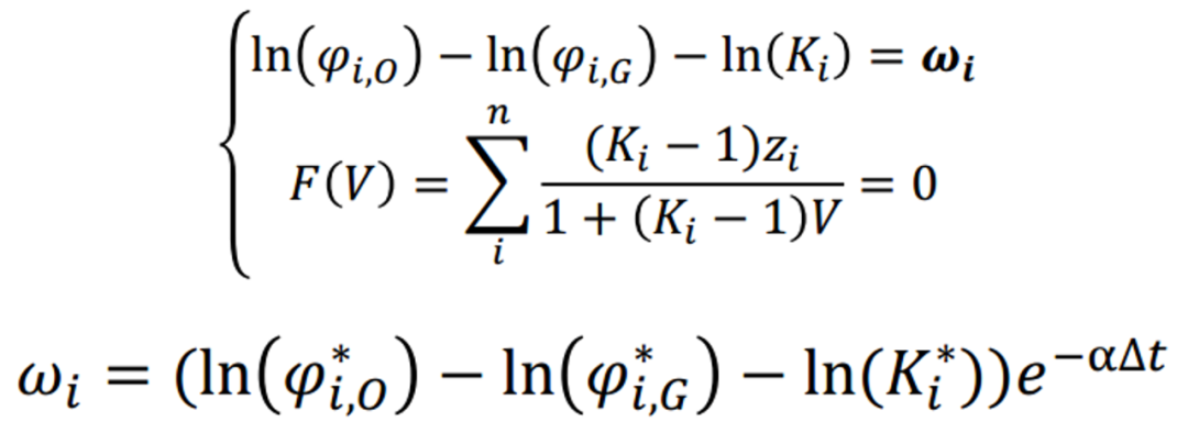
当系统在外部条件改变后趋于平衡时,两相组分化学势相等的条件被它们的差值松弛到零的概念所取代:
Image

非平衡相态的判别依据:如果系统积分参数(压力和体积组成)的变化不会干扰共存相,则该过程被认为是非平衡的。在这种情况下,相间的质量传递只能通过相间边界进行。在所有其他情况下,该过程被认为是平衡的,并且差值松弛=0. 系数差值松弛因为所有组分要么全为零,要么全为非零。


02

实际案例


网格为101×1×25的板状模型。储层中间有一口生产井,两侧有两个注入井。生产井在BHP=1000psi下开采,最大气油比=10 Mscf/stb。注入井交替注入水/气体,注入压力BHP=3500psi。
Image

图1 实际工区

对比不同值的情况下,地层平均压力和产油量的情况。可以从图2中看出,然后开始气体注入,压力开始增加。气体溶解的方式取决于差值松弛。
Image

图2 非平衡状态下不同平衡速率的压力变化

从图3中可以看出,在非平衡的状态下,自由气阻碍了原油的流动,因此它溶解得越慢,原油累产量的模拟结果就越小。
Image

图3 非平衡状态下不同平衡速率的累产油量变化

该实例验证了非平衡相态模型在凝析气藏开发模拟中的必要性和有效性,为优化开发方案提供了理论和技术支持。