上一篇《为什么经常用90度相移处理代替反演使用》介绍了90度相移的基本原理及使用场景,在文末也提到了道积分的相关情况,它们二者在快速地震解释方面可以减少多解性,本文将通过不同场景下的对比,浅谈一下道积分的几个应用条件。
1.道积分的基本原理
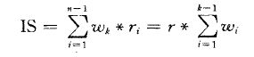
地震道积分的计算公式为:
![]()
……公式1
xj为地震记录,wi为滤波因子,Zi为波阻抗,k为常数,地震道积分实质上是对归一化后的波阻抗对数的滤波,常称为相对波阻抗【张军华等,道积分属性理论诠释及其在薄河道砂体预测中的应用】。
2.运用FM正演对道积分与90度相移进行对比
通过正演对它们进行了对比分析,从结果来看,有以下几个方面的差异(文末将具体分析产生的原因):
1
道积分比90度相移保低频特性更好

图1 楔状模型、正演、90度相移、道积分
图1为楔状模型的正演,楔状模型为高阻抗,其顶面与底面为相反的反射系数,从对比来看,90度相移、道积分所得的高值区(红色)在顶底面干涉范围对应的厚度以下,对楔状模型均具有较好的刻画能力,但可以看到随着厚度的增加,90度相移顶底面对应的高值区会比道积分更先分开,也就是说道积分比90度相移最有更好的厚层刻画能力(在此不讨论这个定量关系,感兴趣的同行可以试验),这是因为顶面反射系数对应的子波的积分数值会影响后续的积分;而90度相移具有与原始地震资料相近的分辨率。
2
道积分易受初始值累积影响

图2 楔状模型、正演、90度相移、道积分
在模型顶部加入一个地质体,也就是地震数据的起始面所对应的地震振幅不全为0,可以看到楔状模型在90度相移剖面上不受影响,而道积分剖面存在明显的干扰作用。
3
道积分易受子波形态影响

图3 负45度相位子波

图4 楔状模型、正演、90度相移、道积分
采用与图2相同的模型,将正演的子波进行负45度相位旋转,可以看到90度相移剖面虽然存在一定影响,但道积分剖面出现了严重的异常,也就是当子波相位(及形态)变化导致子波积分后,会放大地震起始面的影响。
4
当子波直流分量不为0或子波积分末值不为0时,道积分会放大噪声干扰

图5雷克子波25Hz,加入噪音的楔状模型、正演、90度相移、道积分

图6 子波直流分量+0.1,加入噪音的楔状模型、正演、90度相移、道积分
从图5与图6可以看出,当子波为标准雷克子波时,加入噪音后,90度相移与道集分剖面受噪音影响程度相近;但子波加上0.1的直流分量后,道积分剖面受噪音影响更为严重,甚至会出现挂面条现象。
3.道积分易受干扰的原因分析
根据道积分的原理可知,道积分也可表示为反射系数序列与积分子波的褶积【张立昌等,道积分剖面薄互层特征解释及三维地质物性参数体模拟】。公式2为道积分的第二种表示方式:
![]()
……公式2
根据褶积与求和之间的关系,有:
![]()
……公式3
其中wk为雷克子波,k为子波样值数,ri为反射系数序列。
从公式3来看,子波的积分会影响最终的道积分数值,也很好理解,当只有一个单反射系数时,地震数据的道积分与子波的积分相当。如果子波为标准雷克子波时,子波积分后,子波右侧后半部分会由于累加抵消逐渐变为0值,如图7:

图7 标准雷克子波25Hz及子波积分
如果子波为非标准雷克子波或直流分量不为0,那这个子波积分后,会呈现不一样的特征,如下图8,从而由于累加效应,在整道上造成能量异常。

图8 雷克子波25Hz加直流分量0.1及子波积分
可见当子波在时间域积分最后样点值不为0值时,也就是正、负瓣能量不能抵消的情况下,会对后续的累积产生影响,从而造成整道能量异常。这也很好解释了前文中道积分为什么容易受到各方面影响。
总得来说,道积分对厚层的刻画能力更强,但也存在一些容易被干扰的可能,道积分和90度相移二者没有绝对的“更好用”,因为90度相移也有一些前提条件,比如需精准确定地震资料的相位等,且在生产中往往由于多个时窗采用不同步长的反褶积处理,深、中、浅甚至可能会存在一定相位差。故需要在实际生产中结合真实场景,针对性选用合适的方法。
ColchisFM具有丰富的正反演一体化研究配套工具,可轻松实现不同方法的对比分析,包括道积分、90度相移、地震反演等,最后展示一张在ColchisFM中进行90度相移、道积分、地震反演的对比。

图9 楔状模型、正演、90度相移、道积分、反演