前言
ColchisFM可以一键开启基于油藏参数的叠前声波、弹性波动方程正演,并自动完成后续叠前偏移、道集处理、叠加工作流,大大降低了叠前正演的难度,使得用户可专注于油藏参数与地震反射特征之间的联系。
什么是叠前弹性波正演?
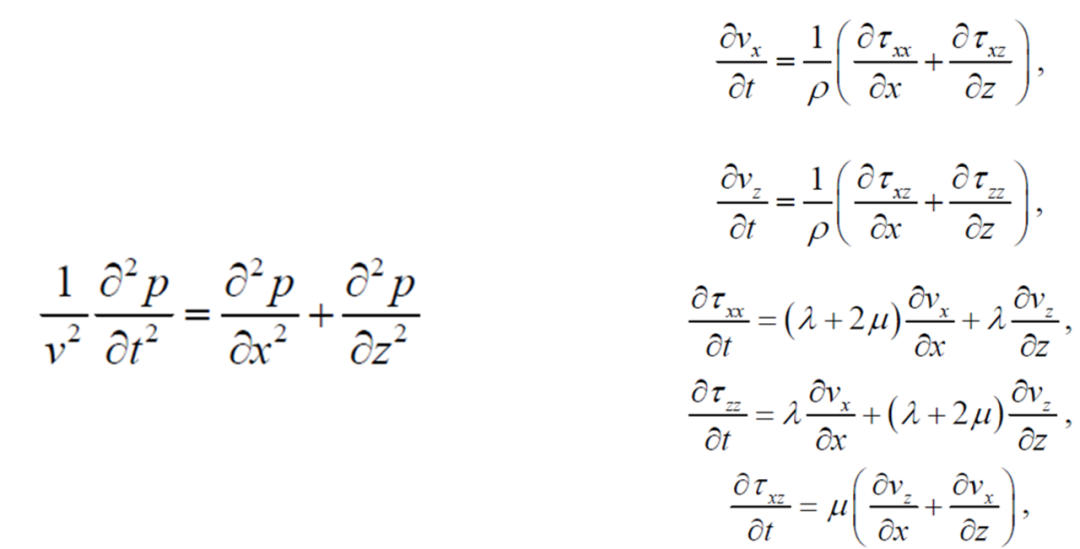
地震正演分为叠后正演与叠前波动方程正演(下称“叠前正演“),叠前正演从方程的表达上又分为声波正演与弹性波正演。声波正演基于声波方程,仅考虑纵波(P波)的传播特性。叠前弹性波正演基于弹性波动方程,可以同时模拟纵波、横波的传播过程,更符合实际介质的弹性特征。声波正演仅需纵波速度(Vp)和密度参数即可完成模拟(在实际应用过程中常常采用常密度);弹性波正演还需要引入横波速度(Vs),对岩石物理模型及参数选择要求更高。

二维常密度声波波动方程(左)和二维一阶应力速度弹性波波动方程(右)
叠前弹性正演的用途

利用常规工具开展叠前弹性正演面临的困难 ColchisFM的解决方案:一键开启“叠前波动方程+叠前时间偏移”全自动流程
利用岩石物理作为核心的油藏参数填参主界面

基于测井插值的小断层模型、叠前波动方程正演全叠加剖面、偏移剖面

全自动波动方程正演+叠前时间偏移主界面

塔里木盆地碳酸岩盐典型洞穴型储层的叠前波动方正演

ColchisFM道集处界主界面
ColchisFM ColchisFM历经多年研发与技术沉淀,是地学行业首款油藏地球物理一体化正演软件,其采用了专利的智能地层识别技术,建模功能强大,正演方法完善;软件上手容易,实时互动性强,用户体验好。其面向油田勘探开发实际需求,独创性地将岩石物理正演与地震正演结合,可解决复杂岩性、多种孔隙等多种地质条件的油藏模型建立及叠后、叠前地震正演,适用于碎屑岩、碳酸盐、非常规油气藏等地震特征研究,同时可以作为四维地震研究的一款利器,研究不同油藏参数下的地震响应。可以作为盆地级的岩石物理参数库及模板库、地震反射特征库建设平台。
公司资讯
走进俄罗斯百年名校:科吉思与列宁母校喀山联邦大学开启ColchisFM软件捐赠合作
2025-12-29
337
科吉思向埃及知名石油院校捐赠价值500万美元ColchisFM软件 助力地球物理科研与教学
2025-12-18
324
喜讯 | 科吉思自研软件ColchisFM成功通过麒麟软件适配认证
2025-06-18
535
科吉思ColchisFM/ColchisRM软件捐赠仪式在长江大学成功举行
2025-05-27
566
科吉思与中国地质大学(武汉)“产学研基地揭牌及ColchisFM软件捐赠”仪式成功举行
2025-02-24
773
2025-01-03
1040
2025-01-03
1473
2024-11-25
940